7класс

Страница 147 номер 6.12, ГДЗ по алгебре за 7 класс к учебнику Дорофеева 2024 года

Номер 6.12

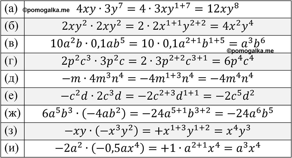
Краткое условие: Выполните умножение: а) \( 4xy \cdot 3y^{7} \); б) \( 2xy^{2} \cdot 2xy^{2} \); в) \( 10a^{2}b \cdot 0{,}1ab^{5} \); г) \( 2p^{2}c^{3} \cdot 3p^{2}c \); д) \( -m \cdot 4m^{3}n^{4} \); е) \( -c^{2}d \cdot 2c^{3}d \); ж) \( 6a^{5}b^{3}\cdot(-4ab^{2}) \); з) \( -xy\cdot(-x^{3}y^{2}) \); и) \( -2a^{2}\cdot(-0{,}5ax^{4}) \).
страница 147 номер 6.12 ГДЗ алгебра 7 класс Дорофеева 2024 год
Сообщить об ошибке
Закрыть