7класс

Страница 146 номер 6.3, ГДЗ по алгебре за 7 класс к учебнику Дорофеева 2024 года

Номер 6.3

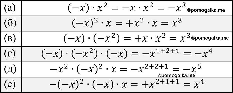
Краткое условие: Упростите выражение: а) \( (-x)\cdot x^{2} \); б) \( (-x)^{2}\cdot x \); в) \( (-x)\cdot(-x^{2}) \); г) \( (-x)\cdot(-x^{2})\cdot(-x) \); д) \( -x^{2}\cdot(-x)^{2}\cdot x \); е) \( -(-x)^{2}\cdot(-x)\cdot x \).
страница 146 номер 6.3 ГДЗ алгебра 7 класс Дорофеева 2024 год
Сообщить об ошибке
Закрыть