7класс
Номер 7.69, ГДЗ по алгебре за 7 класс к учебнику Дорофеева 2024 года
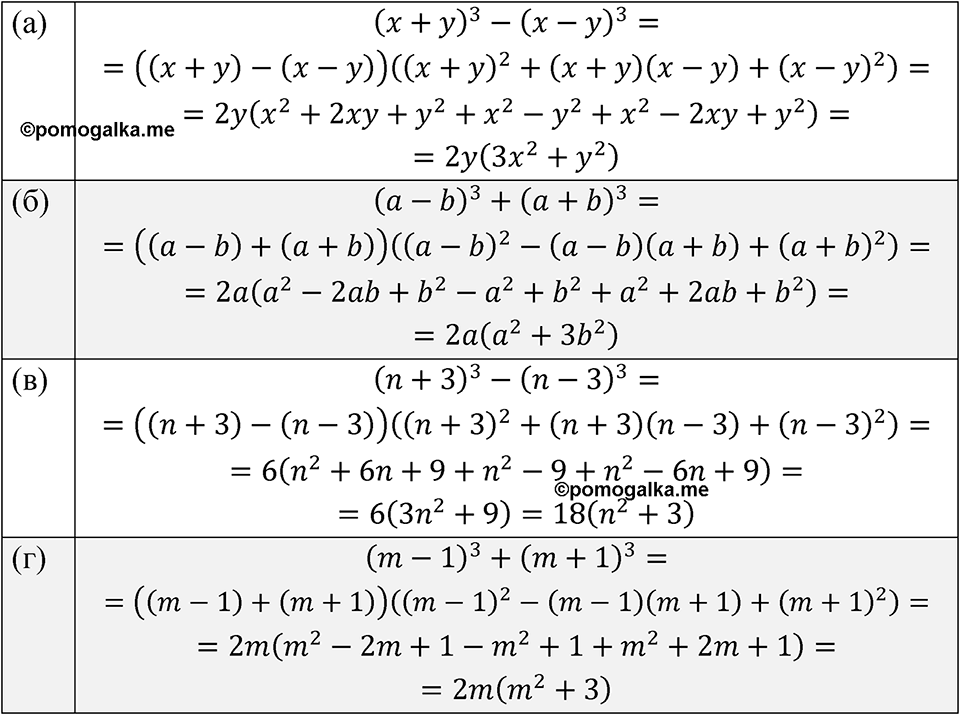
Номер 7.69

Смотрите ещё задания из учебника:
Номер 7.63
Номер 7.64
Номер 7.65
Номер 7.66
Номер 7.67
Номер 7.71
Номер 7.72
Номер 7.73
Номер 7.73. Вопросы после §7.5
Номер 7.74
... смотреть все номера