7класс
Номер 7.50, ГДЗ по алгебре за 7 класс к учебнику Дорофеева 2024 года
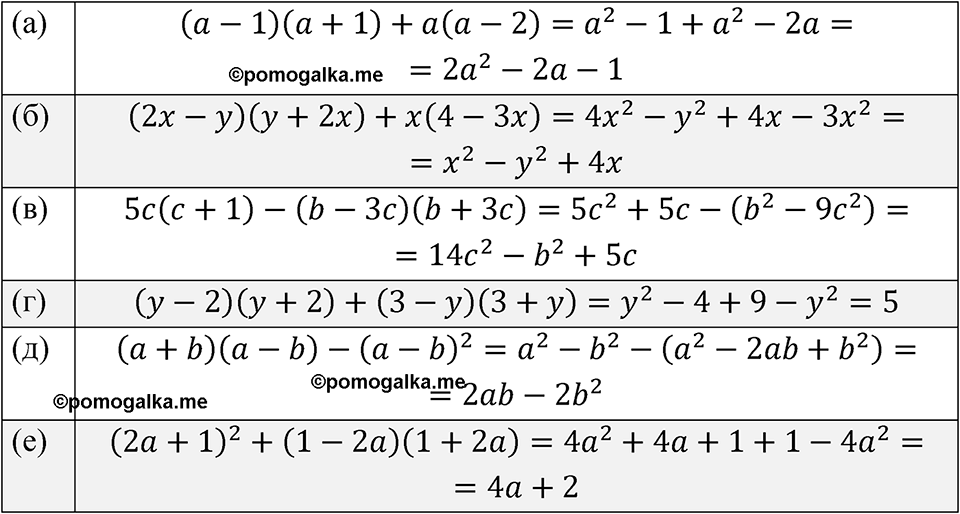
Номер 7.50

Смотрите ещё задания из учебника:
Номер 7.44
Номер 7.45
Номер 7.46
Номер 7.47
Номер 7.48
Номер 7.52
Номер 7.53
Номер 7.54
Номер 7.55
Номер 7.56
... смотреть все номера