7класс
Номер 7.35, ГДЗ по алгебре за 7 класс к учебнику Дорофеева 2024 года
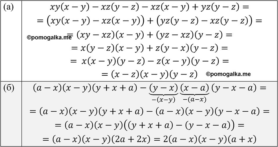
Номер 7.35

Смотрите ещё задания из учебника:
Номер 7.29
Номер 7.30
Номер 7.31
Номер 7.32
Номер 7.33
Номер 7.36. Вопросы после §7.3
Номер 7.37
Номер 7.38
Номер 7.39
Номер 7.40
... смотреть все номера