7класс
Номер 7.31, ГДЗ по алгебре за 7 класс к учебнику Дорофеева 2024 года
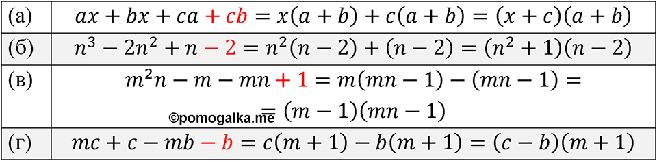
Номер 7.31

Смотрите ещё задания из учебника:
Номер 7.25. Вопросы после §7.2
Номер 7.26
Номер 7.27
Номер 7.28
Номер 7.29
Номер 7.33
Номер 7.34
Номер 7.35
Номер 7.36
Номер 7.36. Вопросы после §7.3
... смотреть все номера