7класс
Номер 6.64, ГДЗ по алгебре за 7 класс к учебнику Дорофеева 2024 года
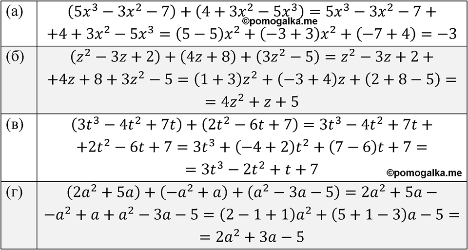
Номер 6.64

Смотрите ещё задания из учебника:
Номер 6.59
Номер 6.60
Номер 6.61
Номер 6.62
Страница 159. Вопросы после §6.4
Номер 6.66
Номер 6.67
Номер 6.68
Номер 6.69
Номер 6.70
... смотреть все номера