7класс
Номер 6.158, ГДЗ по алгебре за 7 класс к учебнику Дорофеева 2024 года
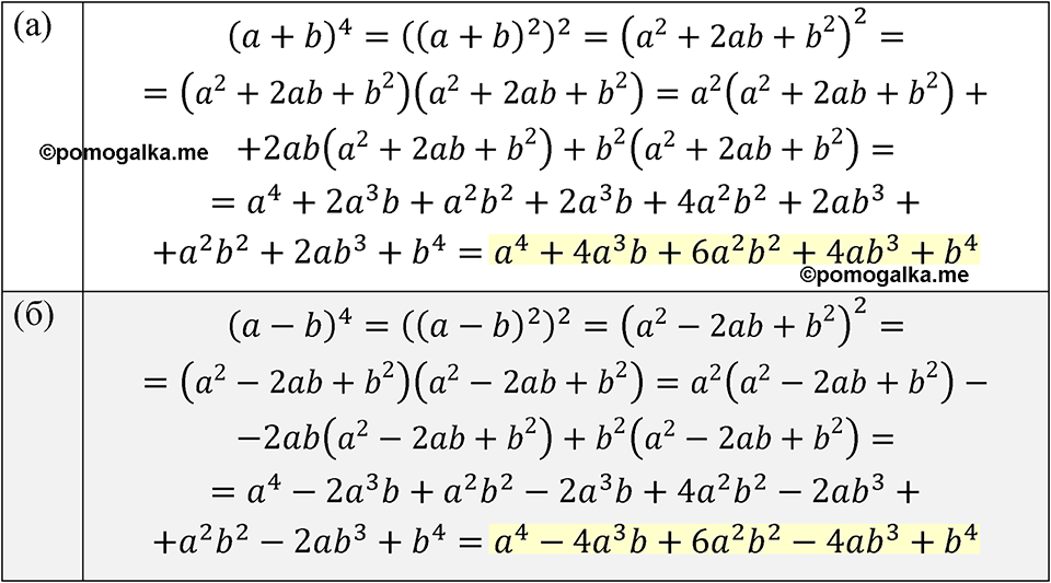
Номер 6.158

Смотрите ещё задания из учебника:
Номер 6.152
Номер 6.153
Номер 6.154
Номер 6.155
Номер 6.156
Номер 6.160
Номер 6.161
Номер 6.162
Номер 6.163
Номер 6.164
... смотреть все номера