7класс
Номер 6.113, ГДЗ по алгебре за 7 класс к учебнику Дорофеева 2024 года
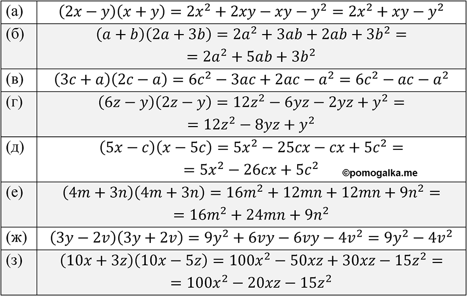
Номер 6.113

Смотрите ещё задания из учебника:
Номер 6.108
Номер 6.109
Номер 6.110
Страница 167. Вопросы после §6.6
Номер 6.111
Номер 6.115
Номер 6.116
Номер 6.117
Номер 6.118
Номер 6.119
... смотреть все номера