7класс
Номер 7.79, ГДЗ по алгебре за 7 класс к учебнику Дорофеева 2024 года
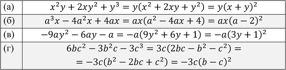
Номер 7.79

Смотрите ещё задания из учебника:
Номер 7.73. Вопросы после §7.5
Номер 7.74
Номер 7.75
Номер 7.76
Номер 7.77
Номер 7.81
Номер 7.82
Номер 7.83
Номер 7.84
Номер 7.85
... смотреть все номера