7класс
Номер 7.76, ГДЗ по алгебре за 7 класс к учебнику Дорофеева 2024 года
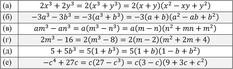
Номер 7.76

Смотрите ещё задания из учебника:
Номер 7.71
Номер 7.72
Номер 7.73
Номер 7.73. Вопросы после §7.5
Номер 7.74
Номер 7.78
Номер 7.79
Номер 7.80
Номер 7.81
Номер 7.82
... смотреть все номера