7класс
Номер 7.67, ГДЗ по алгебре за 7 класс к учебнику Дорофеева 2024 года
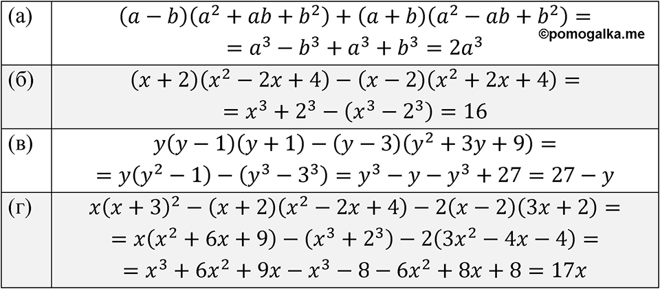
Номер 7.67

Смотрите ещё задания из учебника:
Номер 7.61
Номер 7.62
Номер 7.63
Номер 7.64
Номер 7.65
Номер 7.69
Номер 7.70
Номер 7.71
Номер 7.72
Номер 7.73
... смотреть все номера