7класс
Номер 7.64, ГДЗ по алгебре за 7 класс к учебнику Дорофеева 2024 года
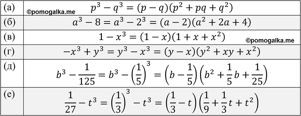
Номер 7.64

Смотрите ещё задания из учебника:
Номер 7.59
Номер 7.60
Номер 7.60. Вопросы после §7.4
Номер 7.61
Номер 7.62
Номер 7.66
Номер 7.67
Номер 7.68
Номер 7.69
Номер 7.70
... смотреть все номера