7класс
Номер 7.58, ГДЗ по алгебре за 7 класс к учебнику Дорофеева 2024 года
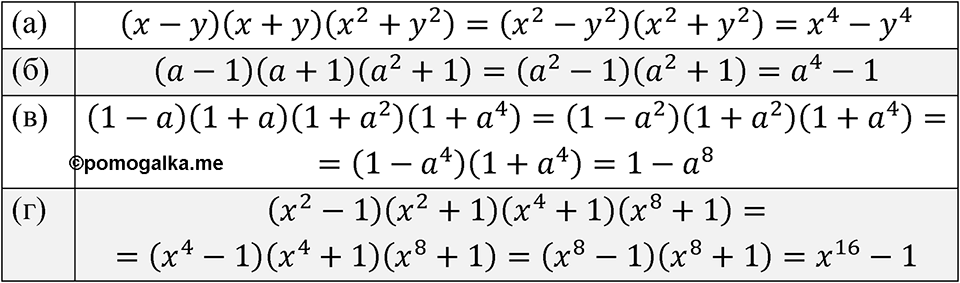
Номер 7.58

Смотрите ещё задания из учебника:
Номер 7.52
Номер 7.53
Номер 7.54
Номер 7.55
Номер 7.56
Номер 7.60
Номер 7.60. Вопросы после §7.4
Номер 7.61
Номер 7.62
Номер 7.63
... смотреть все номера