7класс
Номер 7.20, ГДЗ по алгебре за 7 класс к учебнику Дорофеева 2024 года
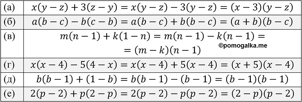
Номер 7.20

Смотрите ещё задания из учебника:
Номер 7.14
Номер 7.15
Номер 7.16
Номер 7.17
Номер 7.18
Номер 7.22
Номер 7.23
Номер 7.24
Номер 7.25
Номер 7.25. Вопросы после §7.2
... смотреть все номера