7класс
Номер 6.66, ГДЗ по алгебре за 7 класс к учебнику Дорофеева 2024 года
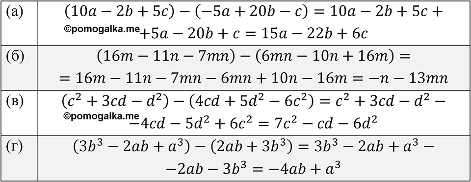
Номер 6.66

Смотрите ещё задания из учебника:
Номер 6.61
Номер 6.62
Страница 159. Вопросы после §6.4
Номер 6.63
Номер 6.64
Номер 6.68
Номер 6.69
Номер 6.70
Номер 6.71
Номер 6.72
... смотреть все номера