7класс
Номер 6.35, ГДЗ по алгебре за 7 класс к учебнику Дорофеева 2024 года
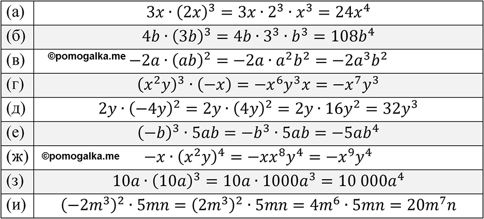
Номер 6.35

Смотрите ещё задания из учебника:
Номер 6.29
Номер 6.30
Номер 6.31
Номер 6.32
Номер 6.33
Номер 6.37
Номер 6.38
Номер 6.39
Номер 6.40
Номер 6.41
... смотреть все номера