7класс
Номер 6.145, ГДЗ по алгебре за 7 класс к учебнику Дорофеева 2024 года
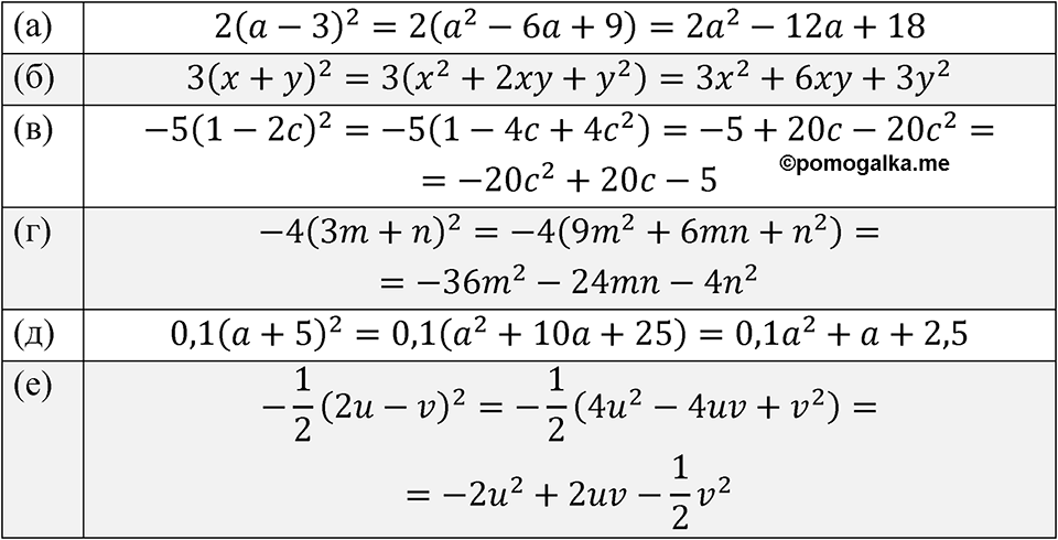
Номер 6.145

Смотрите ещё задания из учебника:
Номер 6.139
Номер 6.140
Номер 6.141
Номер 6.142
Номер 6.143
Номер 6.147
Номер 6.148
Номер 6.149
Номер 6.150
Номер 6.151
... смотреть все номера