7класс
Номер 6.135, ГДЗ по алгебре за 7 класс к учебнику Дорофеева 2024 года
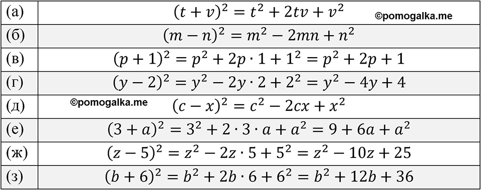
Номер 6.135

Смотрите ещё задания из учебника:
Номер 6.130
Номер 6.131
Номер 6.132
Номер 6.133
Страница 171. Вопросы после §6.7
Номер 6.137
Номер 6.138
Номер 6.139
Номер 6.140
Номер 6.141
... смотреть все номера