7класс
Номер 6.124, ГДЗ по алгебре за 7 класс к учебнику Дорофеева 2024 года
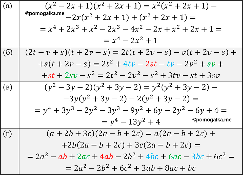
Номер 6.124

Смотрите ещё задания из учебника:
Номер 6.118
Номер 6.119
Номер 6.120
Номер 6.121
Номер 6.122
Номер 6.126
Номер 6.127
Номер 6.128
Номер 6.129
Номер 6.130
... смотреть все номера