7класс
Номер 6.111, ГДЗ по алгебре за 7 класс к учебнику Дорофеева 2024 года
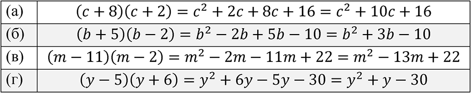
Номер 6.111

Смотрите ещё задания из учебника:
Номер 6.106
Номер 6.107
Номер 6.108
Номер 6.109
Номер 6.110
Номер 6.113
Номер 6.114
Номер 6.115
Номер 6.116
Номер 6.117
... смотреть все номера