7класс
Номер 3.84, ГДЗ по алгебре за 7 класс к учебнику Дорофеева 2024 года
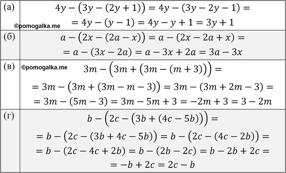
Номер 3.84

Смотрите ещё задания из учебника:
Номер 3.78
Номер 3.79
Номер 3.80
Номер 3.81
Номер 3.82
Номер 3.86
Номер 3.87
Номер 3.88
Номер 3.89
Номер 3.90
... смотреть все номера