7класс
Номер 3.58, ГДЗ по алгебре за 7 класс к учебнику Дорофеева 2024 года
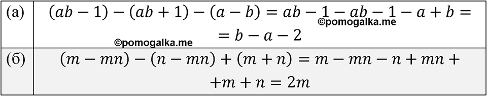
Номер 3.58

Смотрите ещё задания из учебника:
Номер 3.52
Номер 3.53
Номер 3.54
Номер 3.55
Номер 3.56
Номер 3.60
Номер 3.61
Номер 3.62
Номер 3.63
Номер 3.64
... смотреть все номера