7класс

Страница 17 номер 1.43, ГДЗ по алгебре за 7 класс к учебнику Дорофеева 2024 года

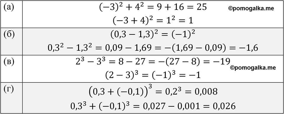
Номер 1.43

Краткое условие: Запишите выражение и найдите его значение: а) сумма квадратов чисел -3 и 4; квадрат их суммы; б) квадрат разности чисел 0,3 и 1,3; разность их квадратов; в) разность кубов чисел 2 и 3; куб их разности; г) куб суммы чисел 0,3 и -0,1; сумма их кубов.
страница 17 номер 1.43 ГДЗ алгебра 7 класс Дорофеева 2024 год
Сообщить об ошибке
Закрыть