7класс
Номер 9.20, ГДЗ по алгебре за 7 класс к учебнику Дорофеева 2024 года
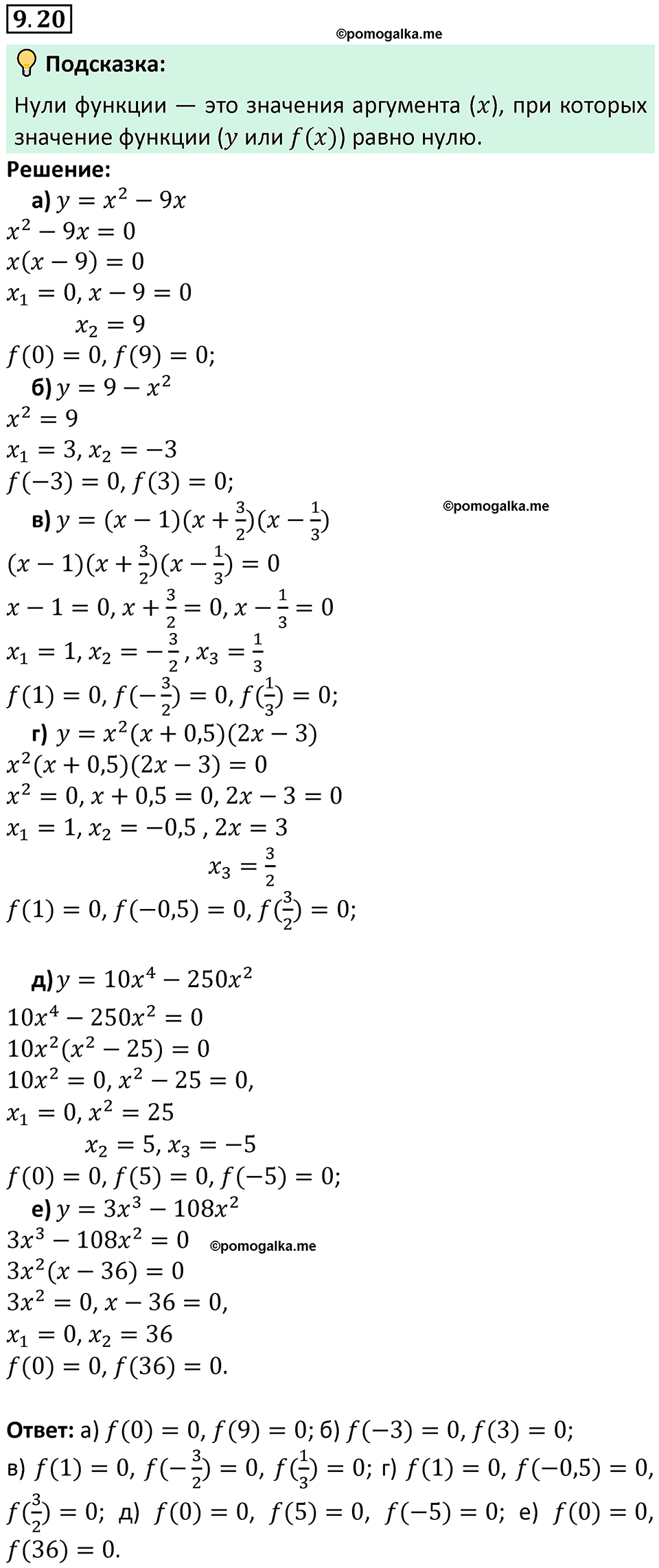
Номер 9.20

Смотрите ещё задания из учебника:
Номер 9.15
Номер 9.16
Страница 253. Вопросы после §9.3
Номер 9.17
Номер 9.18
Номер 9.22
Номер 9.23
Страница 257. Вопросы после §9.4
Номер 9.24
Номер 9.25
... смотреть все номера