7класс
Номер 6.74, ГДЗ по алгебре за 7 класс к учебнику Дорофеева 2024 года
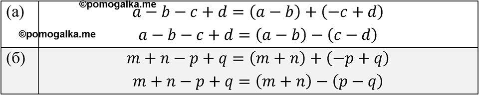
Номер 6.74

Смотрите ещё задания из учебника:
Номер 6.68
Номер 6.69
Номер 6.70
Номер 6.71
Номер 6.72
Номер 6.76
Номер 6.77
Номер 6.78
Номер 6.79
Страница 184. Это надо знать
... смотреть все номера