7класс
Номер 6.67, ГДЗ по алгебре за 7 класс к учебнику Дорофеева 2024 года
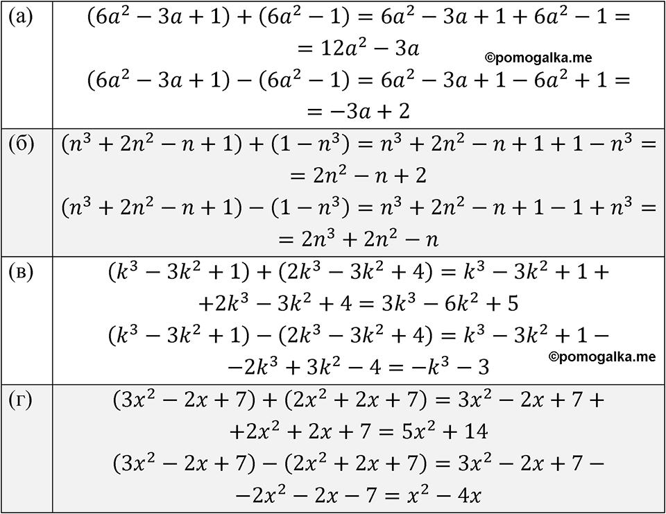
Номер 6.67

Смотрите ещё задания из учебника:
Номер 6.62
Страница 159. Вопросы после §6.4
Номер 6.63
Номер 6.64
Номер 6.65
Номер 6.69
Номер 6.70
Номер 6.71
Номер 6.72
Номер 6.73
... смотреть все номера