7класс
Номер 6.29, ГДЗ по алгебре за 7 класс к учебнику Дорофеева 2024 года
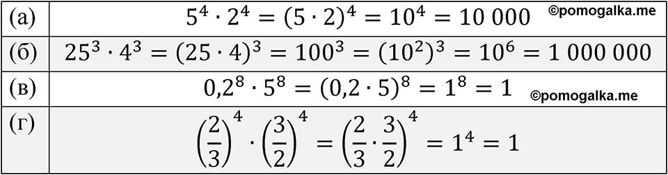
Номер 6.29

Смотрите ещё задания из учебника:
Номер 6.23
Номер 6.24
Номер 6.25
Номер 6.26
Номер 6.27
Номер 6.31
Номер 6.32
Номер 6.33
Номер 6.34
Номер 6.35
... смотреть все номера