7класс
Номер 6.152, ГДЗ по алгебре за 7 класс к учебнику Дорофеева 2024 года
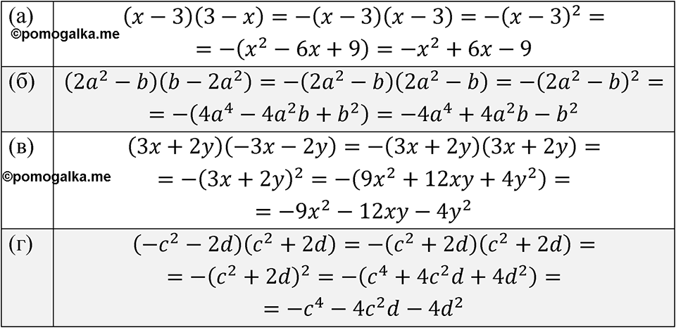
Номер 6.152

Смотрите ещё задания из учебника:
Номер 6.146
Номер 6.147
Номер 6.148
Номер 6.149
Номер 6.150
Номер 6.154
Номер 6.155
Номер 6.156
Номер 6.157
Номер 6.158
... смотреть все номера