7класс
Номер 6.138, ГДЗ по алгебре за 7 класс к учебнику Дорофеева 2024 года
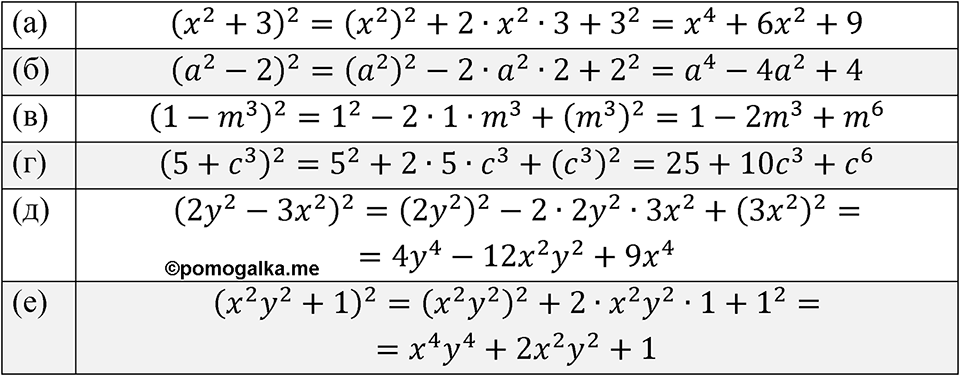
Номер 6.138

Смотрите ещё задания из учебника:
Номер 6.133
Страница 171. Вопросы после §6.7
Номер 6.134
Номер 6.135
Номер 6.136
Номер 6.140
Номер 6.141
Номер 6.142
Номер 6.143
Номер 6.144
... смотреть все номера