ГДЗ
7 класс
Алгебра
Дорофеев, Суворова, Бунимович
7
класс
Страница 118 номер 5.24, ГДЗ по алгебре за 7 класс к учебнику Дорофеева 2024 года
Номер 5.24
Краткое условие:
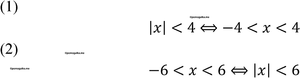
1) Задайте двойным неравенством точки для \( |x| < 4 \). 2) Промежуток \( -6 < x < 6 \) задайте неравенством с модулем.
Номер 5.23
Номер 5.25
смотреть все номера
7
класс
Spotlight Student's book
Английский язык
Смотреть
7
класс
Пасечник, Суматохин
Биология
Смотреть
7
класс
Перышкин
Физика
Смотреть
7
класс
Алексеев - Полярная звезда
География
Смотреть
Сообщить об ошибке
pomogalka
ГДЗ
Рабочие тетради
Меню
Избранное
11
10
9
8
7
6
5
4
3
2
1
Предметы
Кл.
Свернуть
Кл.
Алгебра
Русский язык
Английский язык
Немецкий язык
Химия
Физика
Геометрия
Информатика
Обществознание
История
Биология
География
Литература
Отправить
Закрыть