7класс
Номер 3.56, ГДЗ по алгебре за 7 класс к учебнику Дорофеева 2024 года
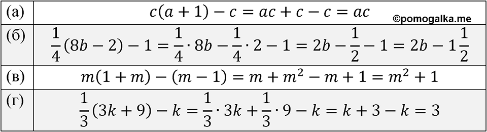
Номер 3.56

Смотрите ещё задания из учебника:
Номер 3.50
Номер 3.51
Номер 3.52
Номер 3.53
Номер 3.54
Номер 3.58
Номер 3.59
Номер 3.60
Номер 3.61
Номер 3.62
... смотреть все номера