7класс

Страница 12 номер 1.16, ГДЗ по алгебре за 7 класс к учебнику Дорофеева 2024 года

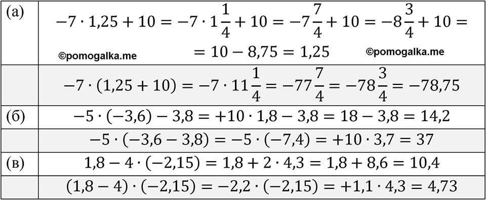
Номер 1.16

Краткое условие: Вычислите: а) \( -7 \cdot 1,25+10 \); б) \( -5 \cdot(-3,6)-3,8 \); в) \( 1,8-4 \cdot(-2,15) \); \( -7 \cdot(1,25+10) ; \) \( -5 \cdot(-3,6-3,8) ; \) \( (1,8-4) \cdot(-2,15) \).
страница 12 номер 1.16 ГДЗ алгебра 7 класс Дорофеева 2024 год
Сообщить об ошибке
Закрыть